おかげさまで開設25周年MANSOLAKEINCORPORADORA.COM.BR 創業祭

MANSOLAKEINCORPORADORA.COM.BR

詳しくはこちら
マイストア マイストア 変更
  • 即日配送
  • 広告
  • 取置可能
  • 店頭受取

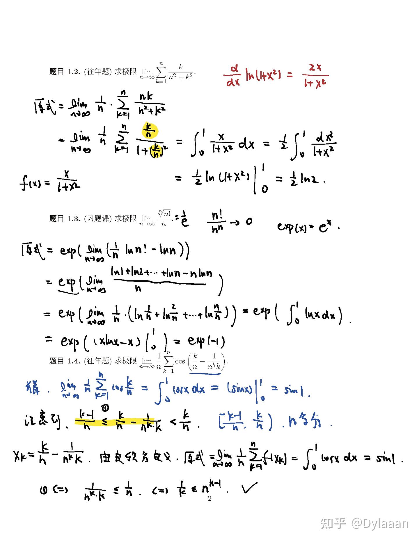
HOT ! 高等数学教程 高等数学习题课讲义(2025.10.21) - 知乎

※MANSOLAKEINCORPORADORA.COM.BR 限定モデル
YouTuberの皆様に商品の使い心地などをご紹介いただいております!
紹介動画はこちら

ネット販売
価格(税込)

6000

  • コメリカード番号登録、コメリカードでお支払いで
    コメリポイント : 4ポイント獲得

コメリポイントについて

購入個数を減らす
購入個数を増やす

お店で受け取る お店で受け取る
(送料無料)

受け取り店舗:

お店を選ぶ

近くの店舗を確認する

納期目安:

13時までに注文→17時までにご用意

17時までに注文→翌朝までにご用意

受け取り方法・送料について

カートに入れる

配送する 配送する

納期目安:

2025.12.25 12:36頃のお届け予定です。

決済方法が、クレジット、代金引換の場合に限ります。その他の決済方法の場合はこちらをご確認ください。

※土・日・祝日の注文の場合や在庫状況によって、商品のお届けにお時間をいただく場合がございます。

即日出荷条件について

受け取り方法・送料について

カートに入れる

欲しいものリストに追加

欲しいものリストに追加されました

高等数学教程 高等数学习题课讲义(2025.10.21) - 知乎の詳細情報

高等数学习题课讲义(2025.10.21) - 知乎。高等数学习题课讲义(2025.10.21) - 知乎。高等数学(第一章:函数与极限)_高数极限公式总结-CSDN博客。ご覧くださいましてありがとうございます(*^-^)父の本になります。中身は見た限り書き込みなく綺麗な状態です。。2023考研高数备考之基本积分表公式_考研数学高数资讯-新东方在线。ご質問などありましたらコメントにお願いいたしますm(_ _)m古い本になります。人文 Chan Insights and Oversights by B. Faure。イスラーム古典叢書 ルーミー語録。表紙カバー1冊だけはずれています。未使用 3冊セット 2024年度版 みんなが欲しかった!
  • 高等数学习题课讲义(2025.10.21) - 知乎
  • 高等数学习题课讲义(2025.10.21) - 知乎
  • 高等数学(第一章:函数与极限)_高数极限公式总结-CSDN博客
  • 2023考研高数备考之基本积分表公式_考研数学高数资讯-新东方在线

同じカテゴリの 商品を探す

ベストセラーランキングです

このカテゴリをもっと見る

この商品を見た人はこんな商品も見ています

近くの売り場の商品

このカテゴリをもっと見る

カスタマーレビュー

オススメ度  4.4点

現在、4404件のレビューが投稿されています。